Harrison Druie Shaw was born in 1919 in Tennessee to Jess and Laura Shaw.
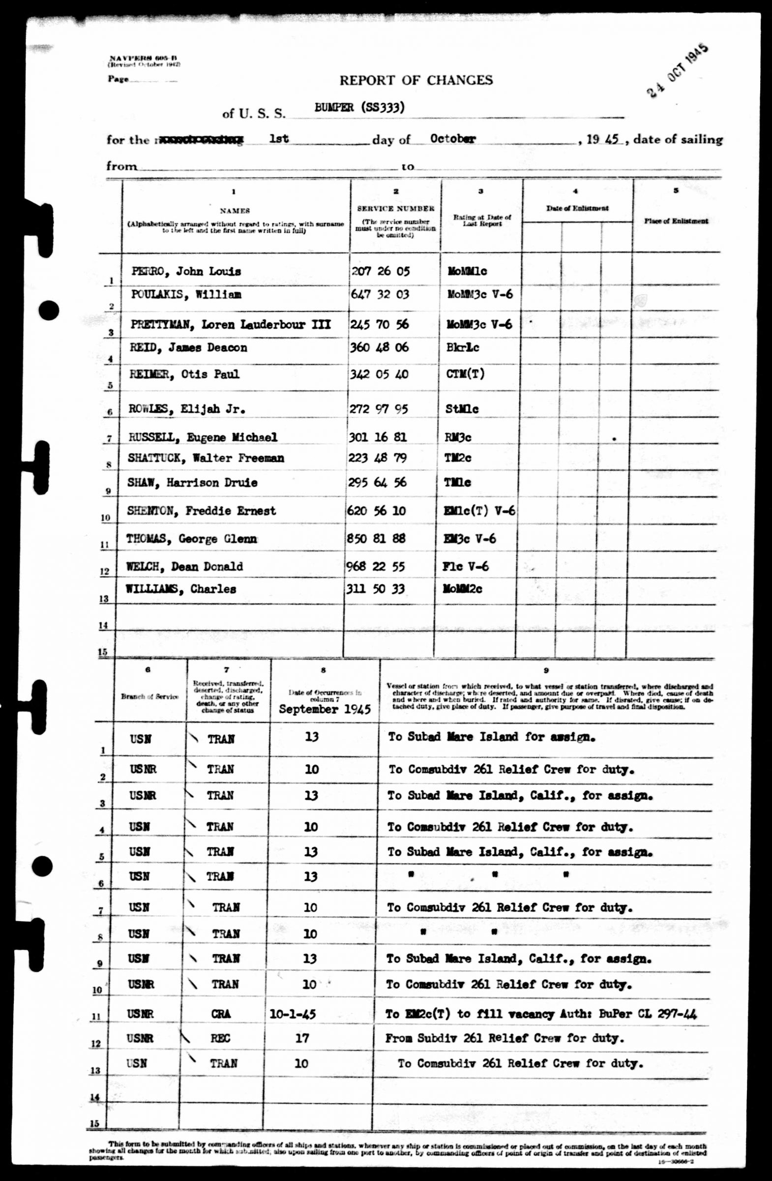
Served on the U.S.S. Salmon (SS182) in 1941, the U.S.S. Blueback (SS326) in 1944 and the U.S.S. Bumper (SS333). On August 31, 1945, Bumper sailed from Freemantle with three other submarines, and arrived in Subic Bay, September 9, 1945, becoming a unit of Submarines, Philippine Sea Frontier. September 15, 1945, found Bumper peacefully at anchor in Subic Bay, Luzon, Philippine Islands. Harrison Shaw was transferred to Subad Mare Island, California for assignment on 13 September 1945.
Declared dead on September 29, 1945
Memorialized at Honolulu Memorial in Honolulu, HI
He attended Central High School in Knoxville
Parents: Jess and Laura Shaw
Siblings: Hobert Shaw, Grace Shaw, Christine Shaw, and Stella Shaw
The Knoxville News-Sentinel, April 14, 1942
Through the American Red Cross headquarters at Washington, Mr. and Mrs. Jesse Shaw of Mascot, Route 1, have learned that their son, Harrison D. Shaw, “is in perfect health.”Young Shaw when last heard from serveral months ago was cruising the Pacific in a U.S. Submarine. No word has come from him since outbreak of the war, his mother says. A graduate of Central High School, Shaw enlisted in the Navy two years ago. He hasn’t been home in a year and nine months the mother said.
- Rank: Torpedoman's Mate First Class
- Date of death: 29 September 1945
- County: Knox
- Hometown: Mascot
- Service Branch: Navy
- Theater: Pacific
- Conflict: World War II
- Awards: Purple Heart
- Burial/Memorial Location: Honolulu Memorial, Honolulu, Hawaii
- Location In Memorial: Pillar XV, Top Panel
- Contact us to sponsor Harrison D. Shaw
Image Gallery
Click a thumbnail below to view at full size.






