James Henry White was born in Rheatown, Tennessee. He died at the age of 25. Under Special Order #64 of 1 September 1921, his remains were escorted from New York to Washington D.C., and then to Chuckey, Tennessee.
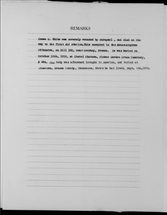
James H. White was severely injured by shrapnel and died on the way to the first aid station. This occurred in the Meuse-Argonne Offensive on Hill 180 near Cernoy, France. He was buried on October 12, 1918, at Chatel Chateau Flower Garden Cross Cemetery.
He was called Henry by everyone except the Army. He is my great grandmother’s (Martha Elizabeth White Bailes) brother. After the war, the body was returned to the family and he was reinterred in Rheatown Cemetery, Rheatown, Greene County, TN.
-Submitted by Cynthia Cox
- Rank: Private First Class
- Date of birth: 9 October 1892
- Date of death: 10 October 1918
- County: Greene
- Hometown: Rheatown
- Service Branch: Army
- Division/Assignment: Company G, 327th Infantry Regiment, 82nd Infantry Division
- Theater: Europe
- Conflict: World War I
- Battles: Meuse-Argonne Offensive, Chatel Chateau
- Burial/Memorial Location: Rheatown Cemetery, Rheatown, Greene County, TN
- Location In Memorial: Pillar III, Top Panel
- Contact us to sponsor James H. White
Image Gallery
Click a thumbnail below to view at full size.








