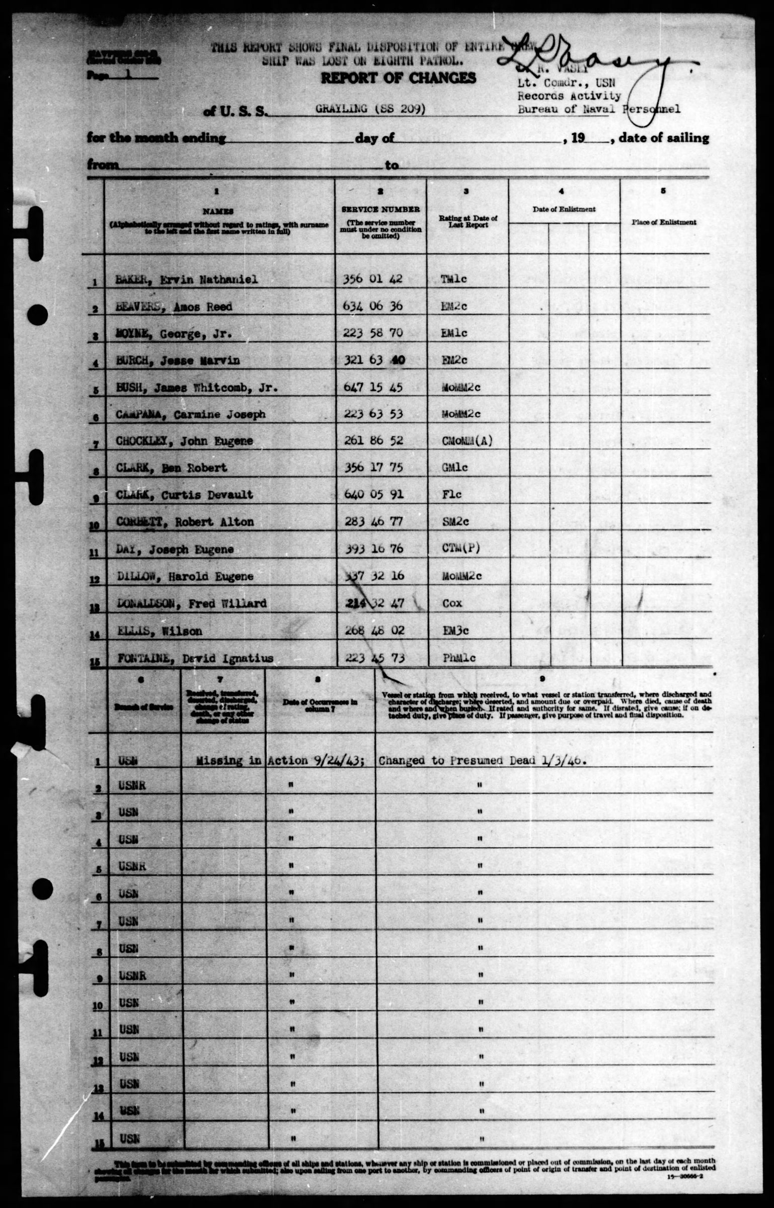
John Eugene Chockley was killed onboard the U.S.S. Grayling (SS-209).
Grayling began her eight and last war patrol in July 1943 from Fremantle Australia but was not heard from again after 9 September 1943. Grayling was officially reported lost with all hands 30 september 1943, after having recorded five major kills totaling 20,575 tons. Even today, the exact cause of the loss of Grayling is unknown, but on 9 September 1943, Japanese passenger-cargo vessel Hokuan Mary reported a submarine in shallow water west of Luzon. The ship made a run over the area and noted an impact with a submerged object. It is assumed the object was Grayling. The submarine was scheduled to make a radio report on the 12th, which she did not, and all attempts to contact her failed.USS Grayling (SS-209) was lost with 76 officers and men.
On the Navy Muster Rolls John Eugene Chockley was reported missing in action on 24 September 1943, changed to presumed death on 3 January 1946. He is memorialized at Manila American Cemetery.
Plain Talk and Tribune, January 17, 1944
John E. Chockley, of Wolf Creek, evidently went down with his ship, when the submarine El Dorado, went down in the Pacific about one month ago. He is officially reported missing in a bulletin from the U.S. Navy just received by Plain Talk and Tribune. He was chief motor machinists mate. The tragedy happened about one month ago.
He joined the service shortly after the war broke out, and his wife, Mrs. Evelyn Spratt Chockley, worked for a time with the Obeke County Welfare office, with offices in the courthouse here.
Mrs. Chockley is now living in Asheville with her three year old daughter, Laura, and is employed with the Asheville Citizen.
Mr. and Mrs. Chockley were school friends in their home community. She was the daughter of Mr. and Mrs. Jack Spratt, and he was the son of Mr. and Mrs. W.M. Chockley, who now live in the vicinity of Paint Rock, N.C.
Photo courtesy: http://www.oneternalpatrol.com/uss-grayling-209.htm
- Rank: Chief Motor Machinists Mate
- Date of birth: 5 January 1915
- Date of death: 9 September 1943
- County: Cocke
- Hometown: Wolf Creek
- Service Branch: Navy
- Division/Assignment: USS Grayling (SS 209)
- Theater: Pacific
- Conflict: World War II
- Awards: Purple Heart
- Burial/Memorial Location: Manila American Cemetery, Fort Bonifacio, Manila, Philippines
- Location In Memorial: Pillar VIII, Middle Panel
- Contact us to sponsor John E. Chockley
Image Gallery
Click a thumbnail below to view at full size.



